6.Klasse: Kombinatorik / 3 von 3 weiter zurück
Kombination ohne Wiederholung
Von einer Kombination ohne Wiederholung spricht man,
Anzahl Kombinationen ohne Wiederholung: Binomialkoeffizient ("n über k"):

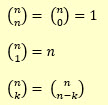
Rechenregeln für Binomialkoeffizienten
