6.Klasse: Potenzen - Wurzeln - Logarithmen / 2 von 3 weiter zurück
Rechengesetze für Potenzen
![]() |
Potenzen mit gleicher Basis werden multipliziert, indem ihre Exponenten addiert werden. | |
![]() |
Potenzen mit gleicher Basis werden dividiert, indem ihre Exponenten subtrahiert werden. | |
![]() |
Eine Potenz wird potenziert, indem die Exponenten multipliziert werden. | |
![]() |
Die Potenz eines Produktes ist gleich dem Produkt der Potenzen. | |
![]() |
Die Potenz eines Quotienten ist gleich dem Quotient der Potenzen. |
Rechengesetze für Wurzeln
![]() |
Die Wurzel eines Produktes ist gleich dem Produkt der Wurzeln. | |
![]() |
Die Wurzel eines Quotienten ist gleich dem Quotient der Wurzeln. | |
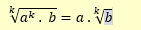
![]() |
Teilweises Wurzelziehen. |







