mathe4me - Mathematik kompakt und verständlich erklärt
weiter
zurück
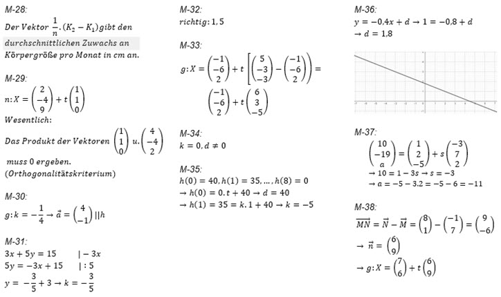
Blick ins Übungsheft 5 (Seite 88)
Home
|
Kontakt
|
Haftungsausschluss
|
Impressum
|
Datenschutzerklärung
[© Dipl.Ing. Bernhard Schleser] / V 1.0